隨著 的迅速發展。現在 光源相比的傳統光源具有壽命長、固體不易損壞、高光效、無汞環保、抗震等優點,未來將成為第三代光源,將帶來照明領域的又一次革命。將LED 使用到照明領域,需要適合LED 的驅動電源,文中利用PWM 開關控制方式設計實現了一種白光LED 的大功率驅動電路。

1 LED 電氣特性和驅動要求
1. 1 LED 的電學特性
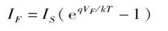
白光LED 的I - V 特性與普通二極管類似,只是開啟電壓不同,不同材料制備的LED 開啟電壓一般在1. 5 ~ 3. 0 V 之間。處于正向工作區時,工作電流IF與外加電壓呈指數關系:
![]()
式中,IS為反向飽和電流; VF為二極管兩端的外加電壓; q 為電子電荷; k 為波爾茲曼常數; T 為熱力學溫度。LED 可長期穩定工作時的直流電流,稱為額定工作電流,此時LED 壓降稱為額定電壓。1 W 的白光LED,其額定工作電流350 mA,額定電壓3. 3 V。允許加在LED 兩端正向電壓與流經LED 電流之積的最大值為其極限功耗,當實際功耗超過該值時,LED 發光特性變差,嚴重時會使LED 產生結構破壞。
1. 2 LED 驅動要求
由LED 的I - V 特性可知,當加在LED 兩端的電壓稍有波動,都會引起電流的劇烈變化,此時很容易使電流過大,輸入功率超過其極限功耗,從而對LED造成不可恢復的損壞。當LED 工作電流值不同時,其發光強度也不同,若采用恒壓驅動,則LED 陣列應采用并聯方式連接,但是由于LED 個體之間的參數誤差,會導致各支路的電流不同,致使陣列發光強度不均勻,因此LED 的驅動電路一般選擇恒流驅動模式,相應的LED 陣列亦采用串聯方式連接,驅動電流一般設為LED 額定電流的70% ~ 85%,以保護LED,達到延長使用壽命的目的,同時也使每個LED的發光強度均勻一致。
寧波美食 LED 驅動電路設計中,需要考慮以下幾個基本指標:
(1) 提高驅動電路的轉換效率,減小電路中的功耗。
( 2) 提高電路的可靠性,能夠耐高壓,具有過流檢測功能。
( 3) 電路盡量精簡,有較小的電路體積和較低的制造成本。
2 PWM 方式開關電路設計
2. 1 PWM 原理
PWM 即脈沖寬度調制,利用脈沖控制開關電路的開關時間,可以控制電路輸出的平均電壓或電流從而達到控制電路的輸出功率。PWM 開關穩壓或恒流的基本工作原理是在輸入電壓、系統參數及外接負載發生變化的情況下,在固定工作頻率下控制電路通過被控信號與基準信號的差值進行閉環反饋,調節主電路開關器件導通的脈沖寬度,使得開關電源的輸出電壓或電流穩定。由于控制器件功耗小,工作在開關狀態中的電路效率高,所以電源效率一般可以做到80% ~90% 。該類電路都有完善的保護措施,屬高可靠性電源。PWM 開關電路由4 部分組成,即輸入整流濾波、PWM 控制、開關器件和輸出濾波。根據PWM 方式開關電路設計的LED 驅動電路框圖如圖1 所示。

圖1 PWM 方式開關電路設計的LED 驅動電路框圖
常見PWM 開關控制信號產生部分大都實現了集成化,更加精簡PWM 開關電源的設計,下面介紹利用芯片HV9910B 設計適用于 的典型PWM方式開關驅動電路。
2. 2 電路設計
HV9910B 是一種通用LED 驅動控制器,它的適應性強,即可使用國際通用的市電供電,也可以用蓄電池或者太陽能供電,而且能夠接受范圍較寬的輸入電壓。輸出的恒流驅動電流范圍極寬,從幾十mA 到1 A以上。使用HV9910B 搭建的驅動器使用器件較少,電路簡單,生產成本也會降低。由HV9910B 設計的LED 恒流驅動電路如圖2 所示,輸入為AC 220 V 的市電,負載為10 只功率為1 W 的LED 串聯組成陣列。

圖2 基于芯片HV9910B 控制的LED 驅動電路
電路輸入級由全波整流橋和一個濾波電容組成,完成對交流電的整流濾波。控制級由HV9910B 芯片搭建,經輸入級濾波后的電壓輸入到芯片的Vin,作為電路的輸入電壓VI,其峰值是310 V,均值為190 V.VDD、LD、PWMD 端通過電容器接GND 端,以維持相應引腳的片內電壓。由GATE 端輸出頻率一定的方波脈沖信號作為開關信號控制開關管,其頻率由RT端所接的電阻設定,脈沖寬度由CS 端采樣電阻RCS反饋的LED 電流信號控制。電感L1在電路中起著至關重要的作用,為驅動電路提供濾波和儲能以及續流供電,以保持負載中電流的均衡性,恢復二極管完成構建續流通路的作用。在開關信號開通半周內,由前級濾波后的電勢向LED 負載直接供電,并給L1充電; 在開關信號關斷半周內,由充滿能量的L1給快恢復二極管、LED 組成的回路供能,實現在一個周期內完成對LED 的持續驅動。
[1]
2. 2. 1 電路參數計算和器件選擇
參考芯片的使用手冊和具體電路要求可以確定芯片的外圍器件參數,首先必須確定電路的工作頻率。
由RT引腳接阻值為226 kΩ ~ 1 MΩ 的電阻,設定GATE 引腳輸出的開關信號頻率。該頻率的選擇與電感L 值和開關管性能有關,一般在市電供電條件下,頻率選擇在25 ~150 kHz。當選擇過高頻率時,需要的電感值較小,但對開關管的要求很高,此時開關管功耗比低頻工作時大很多。試驗中,先設置到100 kHz開關頻率,在沒有散熱的情況下MOSFET 發熱量大,極易燒毀。當頻率設置到26 kHz 時,計算所得電感很大,在工作狀態中電感上消耗過多能量,也不適合電路的高效率工作,所以開關工作頻率選50 kHz。
LED 的驅動電流設定為0. 35 A,根據芯片手冊中提供的計算公式可得到RT值為478 kΩ,在設計允許范寧波趕集網圍內可以使用470 kΩ 電阻用作RT,采樣電阻RCS = 0. 62 Ω。
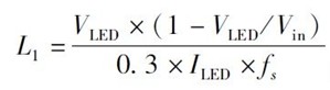
電感L1取值與LED 電流的紋波值有關,一般限制紋波系數最大為0. 3,電感值的計算公式為:

電路驅動了10 個LED,其VLEDS為33 V,Vin是經過全波整流和濾波后的峰值電壓,其值為310 V,ILED和fs取值同前,代入式( 2) 計算得到L1 = 5. 6 mH,電路中選用6. 8 mH 的電感。
MOS 管選取了性能優良的IRF840,其最大耐壓500 V,最大漏極電流5 A,導通電阻0. 6 Ω。二極管選取快恢復二極管BYV26B,其反向耐壓VD =500 V,正向平均電流1 A,正向導通壓降1. 2 V.電容C2作為輸出濾波電路實現電壓濾波,C2在4. 7 ~ 33 μF 的電容中選取,前級的濾波電容C0選擇4. 7 ~ 33 μF 的極性電容,電容C1使用2. 2 μF 無極性電容。全波整流橋要求有高耐壓和大的過電流,電路中選取DB206S,可耐脈沖高壓800 V,浪涌電流2 A,滿足電路設計要求。
2. 2. 2 電路效率理論計算參考
整個電路中的主要損耗由功率MOS 管、采樣電阻、負載LED 相連的電感L1、快速二極管以及芯片HV9910B 產生[7]。根據文獻[7]所提供的相關公式和特定型號的原件參數,可以計算得到該電路的總體功耗PLOSS = PMOS + PDIODE + PINDUCTOR + PIC + PRS = 0. 032 +0. 389 + 0. 613 + 0. 31 + 0. 008 = 1. 352 W。
電路輸出電功率為PO =33 ×0. 35 =11. 6 W,電路的整體轉換效率η =11. 6/( 1. 35 +11. 6) ×100% =89. 57%.
從效率理論計算結果來看,該設計電路性能優良。
3 電路測試
對所設計的PWM 開關驅動電路進行電路搭建,并采用數字電壓表,交流功率計,示波器等實驗儀器對其實物電路的工作狀態進行了測試。在電路正常工作情況下,對電路中的2 個關鍵點的電壓波形進行測試。
圖3 為施加到開關器件柵極的PWM 開關控制信號波形,其周期為14 μs,幅值8 V,占空比8. 3%,周期和預設值有一定差距,這主要是電阻RT阻值誤差造成的頻率設置偏差。圖4 是LED 負載中電流的波形。測量過程是在LED 負載回路中串入0. 5 Ω 電阻測量其兩端的電壓波形,利用電阻的線性特性來反映電流特性。從波形上看,電流按照鋸齒波形周期性變化,峰峰值為40 mV,計算得到其電流紋波為80 mA,輸出電流均值為350 mA,經過計算得到其紋波系數為22. 9%。

圖3 PWM開關控制信號

圖4 LED負載中電流波形
電路的輸入功率PI實測為9. 9 W,負載消耗功率Pout為8. 7 W,則該電路的轉換效率為87. 8%,和對電路效率理論計算所得值相近。
經過對電路的關鍵點波形測量,和對電路功率的實測,得到該電路工作在71 kHz 的頻率開關狀態,工作狀態穩定、輸出功率大、效率較高。但是電路的輸出紋波系數偏高,致使安全工作中LED 的發光照度不會達到其最優值,還需要對電路輸出濾波部分進一步改進提高。
4 結束語
通過分析了解LED 發光性能和電氣特性,得到使用恒流電源驅動、串聯方式連接LED 陣列的驅動要求。在PWM 方式開關電路原理的基礎上,設計出了基于HV9910B 芯片的典型PWM 方式開關電路,通過實驗測量確定其最佳工作頻率,較好地完成了對白光大功率LED 的照明驅動。通過理論計算和實際測量,發現開關LED 驅動電源有著較為優越的電路轉換效率,工作電壓范圍寬,恒流輸出和轉換效率超過85%的特點。但是要更安全地驅動白光LED 進行日光照明,就需要對開關電路的輸出進行更為優秀的濾波處理,使電路的輸出紋波更小,電流更平穩。
[2]
