摘要:針對低壓大口經蝶閥為研究對象,提出一種估算蝶板撓度的方法。
關鍵詞:蝶閥 撓度 變位 力拒
作者簡介:機械部合肥通用機械研究所 宋忠榮 黃明亞 王曉鈞 朱紹源
1、前言
蝶閥結構簡略、體積小、重量輕,并且具有必定的流量調節特征。
蝶閥的心臟件—蝶板在閥門封閉時起切斷介質作用,受閥門前后兩端介質壓差作用而會產生變形,其變形的大小對閥門的密封性能、密封面本身的磨損及開關把持力矩均有較大的影響。因此,對蝶板撓度較準確的估算和研究,可以公平地選擇、設計閥門的結構尺寸,并且以此為根據來選擇、設計傳動機構及調節履行機構。
2、受力分析
蝶閥的主軸插人蝶板之中,由4個長錐銷緊固,可以將主軸和蝶板看成是一個整體。主軸和軸套之間為間隙配合,在盤算變形時,可近似地將蝶板看成簡支支承型式的變截面梁。蝶板是圓形的,沿蝶板軸線方向的荷載不均勻,如圖1所示。

蝶板受介質力作用后,梁將產生曲折,假如應力在彈性極限內,全部梁內的變形能為:

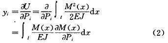
式(1)中僅考慮了彎矩的影響。此外,每一單元還將儲存有必定的剪切應變能,剪切應變能比曲折應變能小得多,可略往不計。由卡斯提里阿諾(Gastigliano)第必定理得:

式(2)表明:若有很多外力(廣義力、包含彎矩)作用在一彈性體上,則這彈性體的變形能U對任一外力Pi的偏導數即是該力的作用點沿著該力的方向的變位yi,如圖2所示。

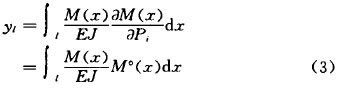
對蝶板來講,求積分和偏導數都是十分艱苦的。根據馬克斯威爾(J. G. Marwell)--莫爾(O.Moho)原理得知:式(2)中的
可以看作是同一梁在力Pi的作用點,受到沿力Pi方向的一個單位荷重作用時所引起的彎矩M°(x),則:

式(3)的積分仍然十分艱苦,由于M0(x)的變更較簡略,M (x)是隨x而變更的函數,蝶板是圓形的,其厚度沿軸線X又并非是定值,因此,蝶板的慣性積J實際上是隨X而變更的更為復雜的函數J(x)。
式(3)可以應用維力沙金(Saint-Venat)所建議的簡略算法。這種算法簡略闡明如下:令EJ=cont(定值)
假如請求任意一點K的位移,則可在K點上作用一個單位虛加力Q,并作出M(x),M°(x)圖,如圖3所示。

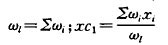
式(4)表明:求變位只需盤算M(x)圖的面積(ω1、ω2),并乘以在該面積的形心之正下方的M°(x)圖的縱坐標值M°l。若M(x)是復雜的,而且盤算起來又十分艱苦時,面積ω1、ω2及重心cl,c2可以利用作圖法求出。采用面積ω1、ω2分段取矩方法求出cl,c2來,分段愈細,得出的成果愈準確,每小段重心可以近似地取每小段ωi的中心。則

這里所研究的蝶板,J(x)也是個很復雜的函數,因此,也可以利用維力沙金法求值,即圖乘法求值。
如上所述,求蝶板的變形,可把蝶板沿軸線X方向分成很多段1,2,3...n,n+1...,并求出垂直于X軸方向各段截面的J,,JZ,J3...Jn,Jn+1"..數值來,然后,再求出各段的M1, M2,...Mn、Mn+1…數值,見圖4。根據
--系列數據,按比例作出
圖形,即把M(x),J(x)的復雜的函數關系用一個圖形表現出來。

3、撓度分析盤算
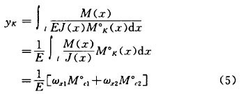
假如請求梁上某一點的撓度YK,則在K點上虛加單位力Q,并作出該單位力的M 0(x)。這樣就可以利用維力沙金的圖乘法求值了。這時,式(4)具有如下情勢:

式中ωx1、ωx2—M(x)/J(x)圖形面積
由于我們把蝶板近似地當作簡支梁來考慮,因此,利用式(5)盤算或用圖乘法求出的撓度y值是蝶板在Z方向的每一縱斷面上所有點都具有的共同撓度,縱斷面K-K上的撓度yK-K均相等,見圖4。然而,Z軸方向上的撓度實際上是不相等的,如邊緣K點的撓度YK的撓度YK應比中心點0的撓度y0大,也就是說,還應當有一個撓度,這個撓度就是在力q的作用下,由Z軸方向上的彎矩而產生的。
以A-A軸作為固定端,把Z軸方向半個蝶板D/2看成是懸臂梁,它所產生的撓度可以近似地認為是Z軸方向上的平行于X軸的各斷面的撓度。

Z軸方向的撓度y:同樣可以根據維力沙金圖乘法來求解。求蝶板邊緣K點的最大撓度yKZ同樣是在K點上作用一虛加單位力Q(見圖5),則有:

式中ω2---m(z)/J(z)圖形面積
根據疊加原理,蝶板上某處的撓度y應當是在X軸方向簡支梁的撓度y二與Z軸方向懸臂梁的撓度y2之和,即:

式(7)是利用圖乘法來盤算蝶板撓度的通式
4、結語
將蝶板近似地按梁的情況求變位,在盤算一個方向的變形時,疏忽了另一個方向的影響,但是,這種影響將使蝶板的變形受到束縛。利用這種方法求撓度是比擬近似的,盤算的成果偏大一些,但對于工程設計來說是安全答應的。
